Cerca nel blog

giovedì 24 novembre 2016

TEOREMA DELL'IMPULSO


E' più efficace una forza più intensa che agisce in un breve intervallo di tempo (esempio : colpo di un martello) oppure una forza meno intensa che agisce per più tempo?

Sicuramente il tempo di azione è importante e per questo motivo si definisce una nuova grandezza fisica chiamata IMPULSO della forza.

L'impulso I è per definizione il prodotto del valore medio della forza per l'intervallo di tempo nel quale agisce.



TEOREMA DELL'IMPULSO: L'impulso di una forza che agisce in un certo intervallo di tempo su un corpo è uguale alla sua variazione di quantità di moto.



ACCELERAZIONE IN UN MOTO RETTILINEO



In un moto vario la velocità cambia in ogni istante (aumenta o diminuisce). La grandezza fisica che esprimere la rapidità con la quale avviene questa variazione è l'accelerazione.

In questo caso l'ACCELERAZIONE MEDIA è data dal rapporto tra la variazione di velocità e il tempo impiegato per questa variazione.
 
L'unità di misura è m/s² (metri su secondo quadrato)

Consideriamo un corpo che si muove nel verso positivo del sistema di riferimento (nella figura verso destra). In questo caso l'accelerazione è positiva quando la velocità aumenta (esempio: partenza) ed è negativa quando la velocità diminuisce (esempio : frenata).


Se il corpo si muove nel verso negativo avviene il contrario. Quando frena l'accelerazione è positiva mentre quando parte l'accelerazione è negativa.
Quando il corpo diminuisce la velocità si dice anche che DECELERA.

L'accelerazione in un dato istante t' (ACCELERAZIONE ISTANTANEA) si ottiene considerando un intervallo di tempo molto piccolo che contiene t' e calcolando l'accelerazione media.

Esempio : una macchina che parte da ferma raggiunge la velocità di 72 km/h=20m/s in 4s. L'accelerazione vale a=20/4=5m/s²

Se consideriamo il grafico velocità - tempo di un moto , l'accelerazione media nell'intervallo [ti,tf] è la pendenza della retta secante AB (vedi grafico sotto la secante AB)
L'accelerazione in un certo istante (accelerazione istantanea) è la pendenza della rette tangente al grafico in quell' istante. (esempio: vedi retta verde tangente in B. Il valore è negativo perchè la pendenza è negativa.)




lezione riassuntiva sul concetto di accelerazione

esempio di moto accelerato in formula 1: viene mostrato il tempo e la velocità
prova a calcolare l'accelerazione massima sui rettilinei e la decelerazione nelle frenate
prova a disegnare il grafico velocità - tempo e il grafico accelerazione - tempo


Se l'accelerazione è COSTANTE nel tempo il moto si dice UNIFORMEMENTE ACCELERATO.

In questo caso la veriazione di velocità è direttamente proporzionale al tempo impiegato. Il grafico velocità - tempo è una retta. L'accelerazione istantanea coincide con quella media in ogni istante.





Esempio : tipico esempio di moto uniformemente accelerato è la caduta di un corpo. L'accelerazione vale g=9,81m/s² . Anche un corpo che scende da un piano inclinato ha un moto uniformemente accelerato.


applet clicca qui

LEGGE ORARIA DI UN MOTO UNIFORMEMENTE ACCELERATO

L'accelerazione è costante a=costante
Quindi posto il tempo iniziale t0=0s risulta:

è l'equazione di come varia la velocità in un moto uniformemente accelerato.
Allora il grafico velocità - tempo è una retta perchè la velocità dipende linearmente dal tempo. La pendenza della retta è il valore dell'accelerazione.

Ricordando che quando la velocità è costante lo spazio percorso è dato da: 𝛥s=v𝛥t possiamo pensare di prendere un intervallo talmente piccolo da considerare la velocità costante. In tal caso lo spazio percorso coincide con l'area del rettangolino di base 𝛥t e altezza v.
Lo spazio totale percorso è quindi la somma di tutti questi rettangoli ossia è l'area sottesa al grafico velocità - tempo.
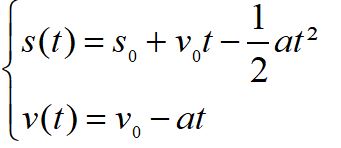
Allora s(t) =area trapezio. Quindi:


 
è la legge oraria dove s₀ è la posizione di partenza, v₀ è la velocità iniziale e a è l'accelerazione.
Dunque la relazione tra lo spazio percorso e il tempo è quadratica. Il grafico spazio tempo è un ramo di parabola:




CASI PARTICOLARI:




1) PARTENZA nel verso positivo
Una macchina è ferma nell'origine.
La macchina al tempo t=0 parte e accelera con accelerazione a. La legge oraria è:


2) frenata nel verso positivo
Una macchina che viaggia a velocità v0 al tempo t=0 inizia a frenare con decelerazione a. La legge oraria è:

 
per determinare lo spazio di frenata sostituisco 0 al posto di v e ricavo t tempo di frenata e poi lo sostituisco nella prima equazione di s(t).

3) corpo lasciato cadere da un'altezza h:
fissato il sistema di riferimento come mostrato in figura allora risulta:

 
NB: la velocità è negativa perchè in questo caso il corpo vi avvicina all'origine.


2) macchina che parte da ferma e accelera:

 
3) macchina che frena quando la sua velocità è v₀



OSSERVAZIONE:

Un corpo che si muove nel piano ha un'accelerazione ANCHE se cambia la direzione del moto (moto curvilineo) senza cambiare il valore della velocità. In queto caso l'accelerazione è un vettore e si calcola per componenti: a=(aₓ,aყ). Una variazione della direzione del vettore velocità determina una variazione del valore delle compenti x e y della velocità e quindi delle componenti del vettore accelerazione.


accelerazione dovuta al cambio di direzione del moto

Un corpo che si muove di moto rettilineo accelera solo se cambia la velocità.







mercoledì 2 novembre 2016

GENERATORE ELETTRICO: ALTERNATORE (DINAMO)

Il fenomeno dell'induzione elettromagnetica permette di generare una corrente indotta utilizzando un campo magnetico. Gli studi di Faraday vennero subito utilizzati per la costruzione di generatori di corrente. Prima la corrente si poteva produrre solo con la "scomoda" pila di Volta. Il primo prototipo di generatore è quello a disco di Faraday.


Generatore di Faraday: un disco ruota in un campo magnetico ed su di esso si genera una corrente radiale
In generale l'alternatore o generatore di corrente alternata trasforma l'energia meccanica rotazionale in energia elettrica sfruttando il fenomeno di induzione elettromagnetica. Una o più spire ruotano con velocità angolare costante in un campo magnetico uniforme. Si crea una variazione periodica del flusso concatenato con le spire che genera una corrente alternata. Per permettere la rotazione della spira bisogna usare dei contatti striscianti.  La corrente inverte il verso ogni mezzo giro delle spire perchè cambia il segno del flusso concatenato.  La corrente è massima quando le spire sono parallele alle linee del campo ed è nulla quando le spire sono perpendicolari alle linee del campo.


applet scarica java qui



Se la spira gira con velocità angolare 𝛚 in un campo magnetico B (vedi figura) l'angolo formato dalla normale alla spira con il campo magnetico è 𝛼=𝛚t e il flusso concatenato con la spira al tempo t è dato da: 𝚽(B)=A∙Bcos(𝛚t). Allora la f.e.m. indotta è data dalla derivata del flusso :
𝜀(t)=-AB𝛚sen(𝛚t)
Il simbolo dell'alternatore o generatore di corrente alternata è:


𝜀(t)=-AB𝛚sen(𝛚t)
Dunque se la corrente è massima quando la spira è parallela alle linee del campo B (𝛼=𝛑/2- flusso nullo ) ed è nulla quando la spira è perpendicolare alle linee di B (𝛼=0, flusso massimo).In questo caso la variazione di flusso è data dalla variazione dell'area concatenata come mostrato dell'animazione sotto:




disputa tra Tesla ed Edison tra corrente alternata e corrente continua

martedì 1 novembre 2016

LA LEGGE DI LENZ


Il verso della corrente indotta è quello tale da opporsi alla causa che l'ha generata.
Questo significa che se aumenta il flusso entrante attraverso la spira la corrente indotta deve generare un campo magnetico che determina un flusso contrario. Viceversa se il flusso concatenato diminuisce la corrente indotta deve generare un flusso con lo stesso verso.
L'effetto è sempre quello di una resistenza nell'avvicinare e nell'allontanare un magnete dalla spira. 
La legge di Lenz esprime la legge di conservazione dell'energia nei fenomeni di induzione: infatti per produrre una corrente (energia elettrica) bisogna compiere un lavoro per vincere la resistenza (energia meccanica).
Ad esempio, nell'avvicinare il magnete , la spira respinge il magnete e si comporta come un secondo  magnete con la stessa polarità. 

CORRENTI DI Foucault


CORRENTI DI FOUCAULT: dette CORRENTI PARASSITE

Le correnti parassite si generano in una lamina metallica che si introduce o si estrae da un campo magnetico oppure se è sottoposta a una variazione del flusso magnetico. Le correnti sono generate secondo la legge di Faraday e si oppongono alla causa che le ha generate secondo la legge di Lenz.

Le correnti riscaldano la lamina e dissipano energia sotto forma di calore (effetto Joule) frenando la lamina se è in movimento. Il funzionamento del freno elettromagnetico e dei fornelli ad induzione sfruttano questo fenomeno. In altri casi può risultare fastidioso. Per limitare il generarsi di queste correnti alcuni conduttori elettrici vengono costruiti con la sovrapposizione di lamelle o vengono tagliati in modo da spezzare e delimitare queste correnti.


 il video mostra la fusione di un blocco di metallo sfruttando le correnti parassite